Упр.36.8 ГДЗ Мордкович 10-11 класс (Алгебра)

Решение #1

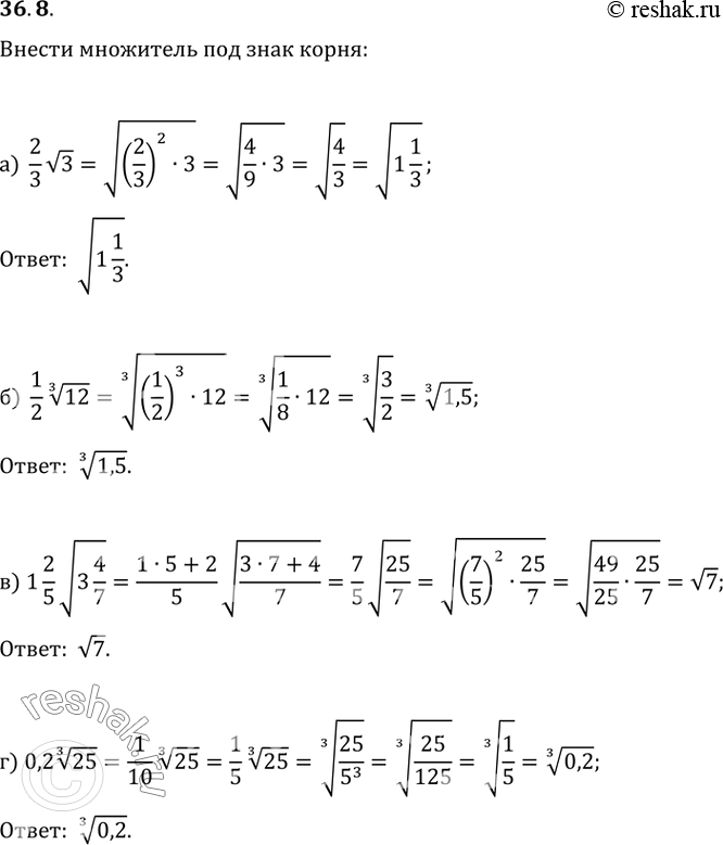
Изображение 36.8а) 2/3 корень(3);б) 1/2 (3)корень(12);в) 1 2/5 корень(3 4/7);г) 0,2...

Решение #2

Изображение 36.8а) 2/3 корень(3);б) 1/2 (3)корень(12);в) 1 2/5 корень(3 4/7);г) 0,2...
Дополнительное изображение
Загрузка...

Рассмотрим вариант решения задания из учебника Мордкович, Семенов 11 класс, Мнемозина:
36.8
а) 2/3 корень(3);
б) 1/2 (3)корень(12);
в) 1 2/5 корень(3 4/7);
г) 0,2 (3)корень(25).
*Цитирирование задания со ссылкой на учебник производится исключительно в учебных целях для лучшего понимания разбора решения задания.
*размещая тексты в комментариях ниже, вы автоматически соглашаетесь с пользовательским соглашением