Упр.32.14 ГДЗ Мордкович 10-11 класс (Алгебра)
Решение #1
Решение #2

Рассмотрим вариант решения задания из учебника Мордкович, Семенов 10-11 класс, Мнемозина:
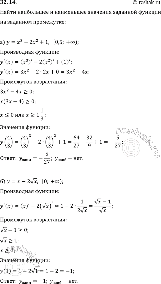
32.14 Найдите наибольшее и наименьшее значения заданной функции на заданном промежутке:
а) у = x^3 - 2x^2 + 1, [0,5; +бесконечность);
б) у = х - 2корень(х), [0; +бесконечность);
в) у = 1/5 x^5 - x^2, (-бесконечность; 1];
г) у = x^4 / (x^4 + 1), (-бесконечность; +бесконечность).
*размещая тексты в комментариях ниже, вы автоматически соглашаетесь с пользовательским соглашением