Упр.3.21 ГДЗ Мордкович 9 класс (Алгебра)
Решение #1
Решение #2

Рассмотрим вариант решения задания из учебника Мордкович 9 класс, Мнемозина:
Решите задачи, используя круги (диаграммы) Эйлера:
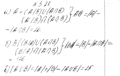
3.21. Множество А состоит из 99 элементов, множество В — из 199 элементов, а множество А пересечение В — из 73 элементов. Сколько элементов: а) принадлежит множеству А, но не принадлежит множеству В; б) принадлежит множеству В, но не принадлежит множеству А; в) принадлежит множеству А объединене B?
*размещая тексты в комментариях ниже, вы автоматически соглашаетесь с пользовательским соглашением