Упр.97 ГДЗ Макарычев Миндюк 9 класс (Углубленный) (Алгебра)
Решение #1

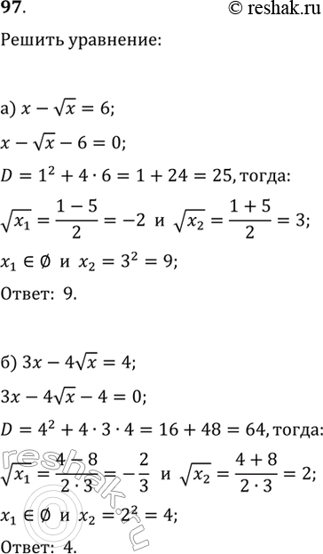
Рассмотрим вариант решения задания из учебника Макарычев, Миндюк, Нешков 9 класс, Просвещение:
97. Решите уравнение: а) x-vx=6; б) 3x-4vx=4.
*размещая тексты в комментариях ниже, вы автоматически соглашаетесь с пользовательским соглашением