Упр.854 ГДЗ Никольский Потапов 7 класс (Алгебра)
Решение #1

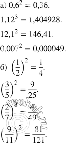
Рассмотрим вариант решения задания из учебника Никольский, Потапов 7 класс, Просвещение:
854 а) 0,6^2;1,12^3;12,1^2;0,007^2;
б) (1/2)2;(3/5)2;(2/7)2;(9/11)2.
*размещая тексты в комментариях ниже, вы автоматически соглашаетесь с пользовательским соглашением