Упр.848 ГДЗ Никольский Потапов 7 класс (Алгебра)
Решение #1

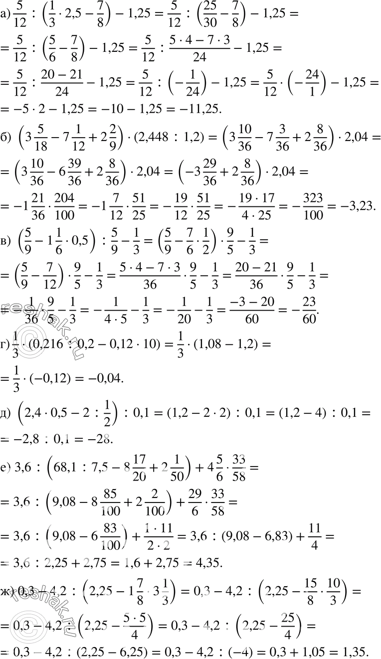
Рассмотрим вариант решения задания из учебника Никольский, Потапов 7 класс, Просвещение:
848 а) 5/12:(1/3*2,5-7/8)-1,25;
б) (3*5/18 - 7*1/12 + 2*2/9)*(2,448 :1,2);
в) (5/9-1*1/6*0,5):5/9-1/3;
г) 1/3*(0,216:0,2-0,12*10);
д) (2,4*0,5-2:1/2):0,1;
е) 3,6:(68,1:7,5-8*17/20 + 2*1/50)+4*5/6*33/58;
ж) 0,3 - 4,2:(2,25-1*7/8*3*1/3).
*размещая тексты в комментариях ниже, вы автоматически соглашаетесь с пользовательским соглашением