Упр.810 ГДЗ Никольский Потапов 7 класс (Алгебра)
Решение #1

Рассмотрим вариант решения задания из учебника Никольский, Потапов 7 класс, Просвещение:
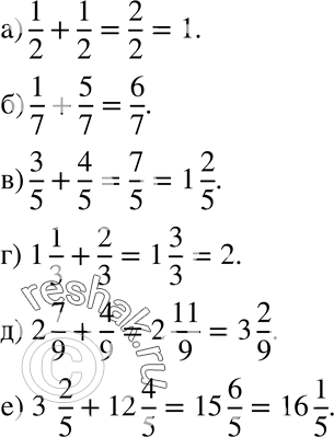
Вычислите (810—815):
810 а) 1/2+1/2;
б) 1/7+5/7;
в) 3/5+4/5;
г) 1*1/3+2/3;
д) 2*7/9+4/9;
е) 3*2/5+12*4/5.
*размещая тексты в комментариях ниже, вы автоматически соглашаетесь с пользовательским соглашением