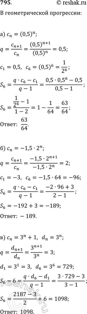
Упр.795 ГДЗ Макарычев Миндюк 9 класс (Углубленный) (Алгебра)
Решение #1

Рассмотрим вариант решения задания из учебника Макарычев, Миндюк, Нешков 9 класс, Просвещение:
795. Найдите сумму первых шести членов последовательности (c_n), если:
а) c_n=(0,5)^n; б) c_n=-1,5·2^n; в) c_n=3^n+1.
*размещая тексты в комментариях ниже, вы автоматически соглашаетесь с пользовательским соглашением