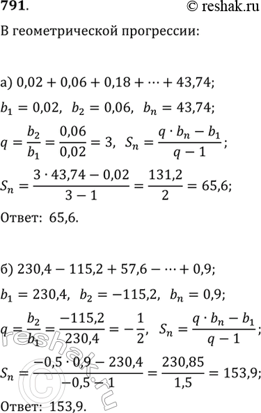
Упр.791 ГДЗ Макарычев Миндюк 9 класс (Углубленный) (Алгебра)
Решение #1

Рассмотрим вариант решения задания из учебника Макарычев, Миндюк, Нешков 9 класс, Просвещение:
791. Найдите сумму, в которой слагаемые составляют геометрическую профессию:
а) 0,02+0,06+0,18+...+43,75; б) 230,4-115,2+57,6-...+0,9.
*размещая тексты в комментариях ниже, вы автоматически соглашаетесь с пользовательским соглашением