Упр.742 ГДЗ Макарычев Миндюк 9 класс (Углубленный) (Алгебра)
Решение #1

Рассмотрим вариант решения задания из учебника Макарычев, Миндюк, Нешков 9 класс, Просвещение:
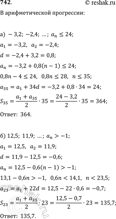
742. Найдите сумму членов арифметической прогрессии:
а) -3,2; -2,4; ..., не превосходящих 24;
б) 12,5; 11,9: ..., больших, чем -1.
*размещая тексты в комментариях ниже, вы автоматически соглашаетесь с пользовательским соглашением