Упр.720 ГДЗ Макарычев Миндюк 9 класс (Углубленный) (Алгебра)
Решение #1

Рассмотрим вариант решения задания из учебника Макарычев, Миндюк, Нешков 9 класс, Просвещение:
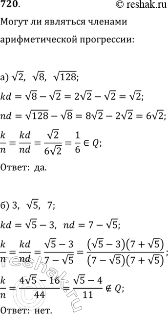
720. Могут ли быть членами одной арифметической прогрессии (не обязательно последовательными) числа: а) v2, v8, v128; б) 3, v5, 7?
*размещая тексты в комментариях ниже, вы автоматически соглашаетесь с пользовательским соглашением