Упр.69 ГДЗ Муравин 7 класс (Алгебра)
Решение #1

Рассмотрим вариант решения задания из учебника Муравин, Муравина 7 класс, Дрофа:
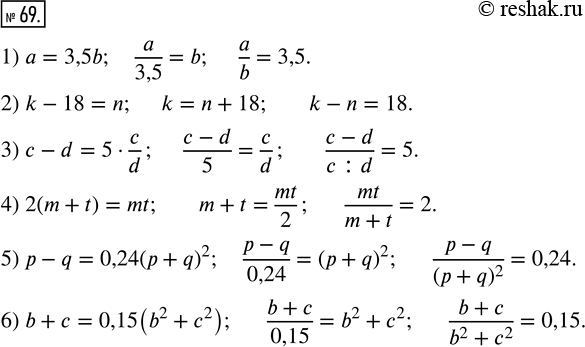
69. Запишите несколькими способами в виде равенства, что:
1) число а в 3,5 раза больше числа b;
2) число k на 18 больше числа n;
3) разность чисел с и d в 5 раз больше их частного;
4) сумма чисел m и t в 2 раза меньше их произведения;
5) разность чисел р и q составляет 24 % от квадрата их суммы;
6) сумма чисел b и с составляет 15 % от суммы их квадратов.
*размещая тексты в комментариях ниже, вы автоматически соглашаетесь с пользовательским соглашением