Упр.644 ГДЗ Макарычев Миндюк 9 класс (Углубленный) (Алгебра)

Решение #1

Изображение 644. Найдите первые шесть членов последовательности, заданной рекуррентным способом:а) c_1=13, c_(n+1)=c_n+2;б) c_1=-12, c_(n+1)=-3c_n;в) c_1=6, c_(n+1)=n·c_n;г)...
Дополнительное изображение
Загрузка...

Рассмотрим вариант решения задания из учебника Макарычев, Миндюк, Нешков 9 класс, Просвещение:
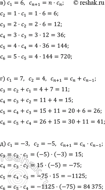
644. Найдите первые шесть членов последовательности, заданной рекуррентным способом:
а) c_1=13, c_(n+1)=c_n+2;
б) c_1=-12, c_(n+1)=-3c_n;
в) c_1=6, c_(n+1)=n·c_n;
г) c_1=7, c_2=4, c_(n+1)=c_n+c_(n-1) (n?2);
д) c_1=-3, c_2=-5, c_(n+1)=c_n·c_(n-1) (n?2).
*Цитирирование задания со ссылкой на учебник производится исключительно в учебных целях для лучшего понимания разбора решения задания.
*размещая тексты в комментариях ниже, вы автоматически соглашаетесь с пользовательским соглашением