Упр.593 ГДЗ Никольский Потапов 7 класс (Алгебра)
Решение #1

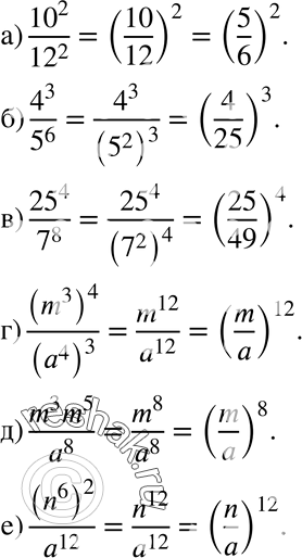
Рассмотрим вариант решения задания из учебника Никольский, Потапов 7 класс, Просвещение:
593 а) 10^2/12^12;
б) 4^3/5^6;
в) 25^4/7^8;
г) (m3)4/(a4)3;
д) m3m5/a8;
е) (n6)2/a2.
*размещая тексты в комментариях ниже, вы автоматически соглашаетесь с пользовательским соглашением