Упр.580 ГДЗ Никольский Потапов 7 класс (Алгебра)
Решение #1

Рассмотрим вариант решения задания из учебника Никольский, Потапов 7 класс, Просвещение:
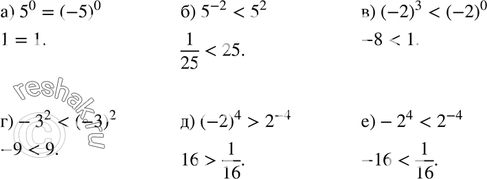
Сравните (580—581):
580 а) 5^0 и (-5)0;
б) 5^-2 и 5^2;
в) (-2)3 и (-2)0;
г) -3^2 и (-3)2;
д) (-2)4 и 2^-4;
е) -2^4 и 2^-4.
*размещая тексты в комментариях ниже, вы автоматически соглашаетесь с пользовательским соглашением