Упр.548 ГДЗ Никольский Потапов 7 класс (Алгебра)
Решение #1

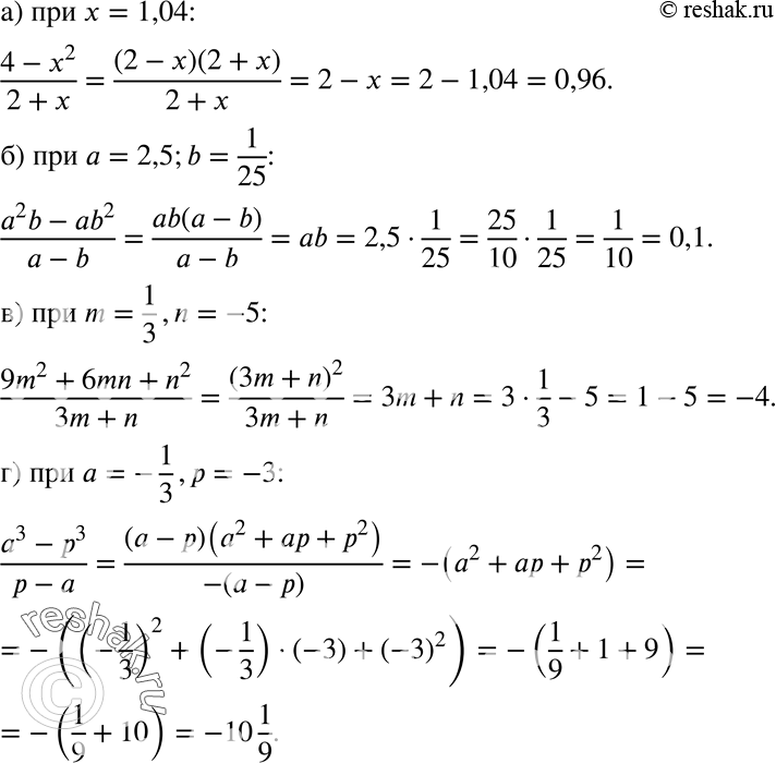
Рассмотрим вариант решения задания из учебника Никольский, Потапов 7 класс, Просвещение:
548 Найдите значение выражения:
а) (4-x2)/(2+x) при x=1,04;
б) (a2b-ab2)/(a-b) при a=2,5,b=1/25;
в) (9m2+6mn+n2)/(2m+n) приm=1/3, n=-5;
г) (a2-p2)/(p-a) при a=-1/3, p=-3.
*размещая тексты в комментариях ниже, вы автоматически соглашаетесь с пользовательским соглашением