Упр.539 ГДЗ Никольский Потапов 7 класс (Алгебра)
Решение #1

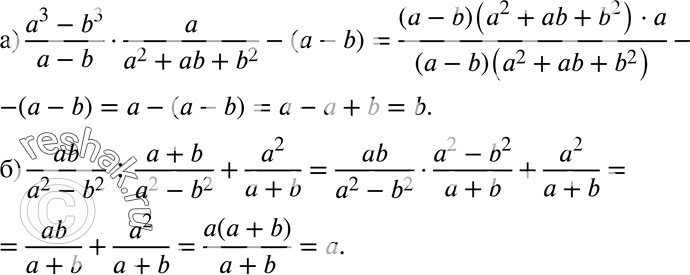
Рассмотрим вариант решения задания из учебника Никольский, Потапов 7 класс, Просвещение:
539 а) (a3-b3)/(a-b) *a/(a2+ab+b2)-(a-b);
б) ab/(a2-b2):(a+b)/(a2-b2)+a2/(a+b).
*размещая тексты в комментариях ниже, вы автоматически соглашаетесь с пользовательским соглашением