Упр.491 ГДЗ Никольский Потапов 7 класс (Алгебра)
Решение #1

Рассмотрим вариант решения задания из учебника Никольский, Потапов 7 класс, Просвещение:
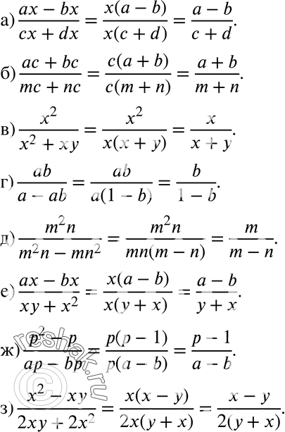
491 а) (ax-bx)/(cx+dx);
б) (ac+bc)/(mc+nc);
в) x2/(x2+xy);
г) ab/(a-ab);
д) m2n/(m2n-mn2);
е) (ax-bx)/(xy+x2);
ж) (p2-p)/(ap-bp);
з) (x2-xy)/(2xy+2x2).
*размещая тексты в комментариях ниже, вы автоматически соглашаетесь с пользовательским соглашением