Упр.473 ГДЗ Никольский Потапов 7 класс (Алгебра)
Решение #1
Решение #2

Рассмотрим вариант решения задания из учебника Никольский, Потапов 7 класс, Просвещение:
473. Разложите многочлен на множители, предварительно выделив полный квадрат:
а) a2+8a+15;
б) x2+4b4;
в) x2-2xy-3y2;
г) m2+7m+10;
д) p2-5p+6;
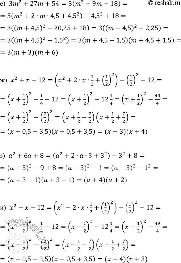
е) 3m2+27m+54;
ж) x2+x-12;
з) a2+6a+8;
и) x2-x-12.
*размещая тексты в комментариях ниже, вы автоматически соглашаетесь с пользовательским соглашением