Упр.472 ГДЗ Никольский Потапов 7 класс (Алгебра)
Решение #1
Решение #2

Рассмотрим вариант решения задания из учебника Никольский, Потапов 7 класс, Просвещение:
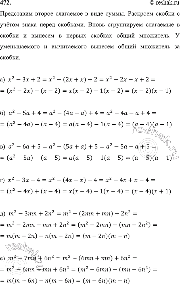
472. Разложите многочлен на множители, предварительно представив один из его членов в виде суммы:
а) x2-3x+2;
б) a2-5a+4;
в) a2-6a+5;
г) x2-3x-4;
д) m2-3mn+2n2;
е) m2-7mn+6n2.
*размещая тексты в комментариях ниже, вы автоматически соглашаетесь с пользовательским соглашением