Упр.467 ГДЗ Никольский Потапов 7 класс (Алгебра)
Решение #1
Решение #2

Рассмотрим вариант решения задания из учебника Никольский, Потапов 7 класс, Просвещение:
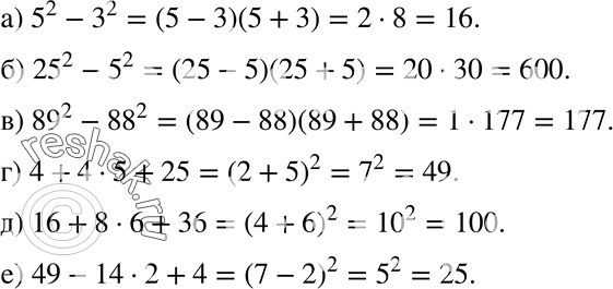
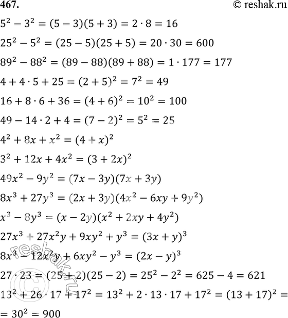
467. Придумайте примеры на применение формул сокращённого умножения при вычислениях.
*размещая тексты в комментариях ниже, вы автоматически соглашаетесь с пользовательским соглашением