Упр.465 ГДЗ Никольский Потапов 7 класс (Алгебра)
Решение #1

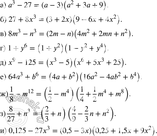
Рассмотрим вариант решения задания из учебника Никольский, Потапов 7 класс, Просвещение:
465 а) a3-27;
б) 27+8x3;
в) 8m3-n3;
г) 1+y6;
д) x9-125;
е) 64a3+b6;
ж) 1/8-m12;
з) 8/27+n3;
и) 0,125-27x3.
*размещая тексты в комментариях ниже, вы автоматически соглашаетесь с пользовательским соглашением