Упр.424 ГДЗ Никольский Потапов 7 класс (Алгебра)
Решение #1

Рассмотрим вариант решения задания из учебника Никольский, Потапов 7 класс, Просвещение:
Запишите выражение в виде многочлена (424—425):
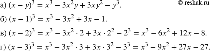
424. а) (х - у)3;
б) (x - 1)3;
в) (х - 2)3;
г) (x-3)3.
*размещая тексты в комментариях ниже, вы автоматически соглашаетесь с пользовательским соглашением