Упр.416 ГДЗ Никольский Потапов 7 класс (Алгебра)
Решение #1

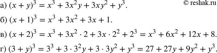
Рассмотрим вариант решения задания из учебника Никольский, Потапов 7 класс, Просвещение:
Запишите выражение в виде многочлена (416—417):
416. а) (х + у)3;
б) (х + 1)3;
в) (х + 2)3;
г) (3 + у)3.
*размещая тексты в комментариях ниже, вы автоматически соглашаетесь с пользовательским соглашением