Упр.414 ГДЗ Никольский Потапов 7 класс (Алгебра)
Решение #1

Рассмотрим вариант решения задания из учебника Никольский, Потапов 7 класс, Просвещение:
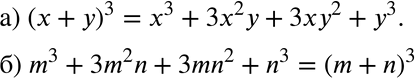
414. Заполните пропуски, применив формулу куба суммы:
а) (х + у)3 = ...;
б) m3 + 3m2n + 3mn2 + n3 = ... .
*размещая тексты в комментариях ниже, вы автоматически соглашаетесь с пользовательским соглашением