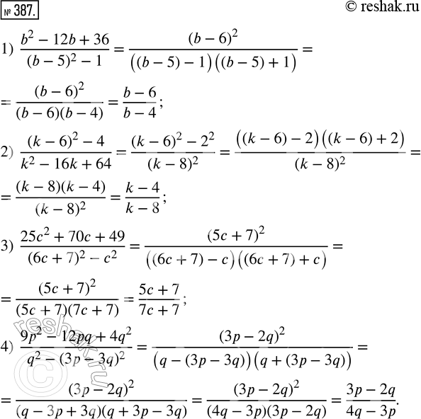
Упр.387 ГДЗ Муравин 7 класс (Алгебра)
Решение #1

Рассмотрим вариант решения задания из учебника Муравин, Муравина 7 класс, Дрофа:
387. Сократите дробь:
1) (b^2 - 12b + 36)/((b - 5)^2 - 1); 3) (25c^2 + 70c + 49)/((6c + 7)^2 - c^2;
2) ((k - 6)^2 - 4)/(k^2 - 16k + 64); 4) (9p^2 - 12pq + 4q^2)/(q^2 - (3p - 3q)^2).
*размещая тексты в комментариях ниже, вы автоматически соглашаетесь с пользовательским соглашением