Упр.386 ГДЗ Никольский Потапов 7 класс (Алгебра)
Решение #1

Рассмотрим вариант решения задания из учебника Никольский, Потапов 7 класс, Просвещение:
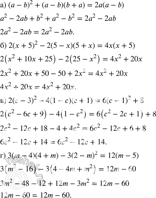
386. Доказываем. Докажите тождество:
а) (а - b)2 + (а - b) (b + а) = 2а (а - b);
б) 2(х + 5)2 - 2(5 - х)(5 + х) = 4x (x + 5);
в) 2(с - З)2 - 4(1 - с)(с + 1) = 6(с - 1)2 + 8;
г) 3(m - 4)(4 + m) - 3(2 - m)2 = 12(m - 5).
*размещая тексты в комментариях ниже, вы автоматически соглашаетесь с пользовательским соглашением