Упр.368 ГДЗ Никольский Потапов 7 класс (Алгебра)
Решение #1

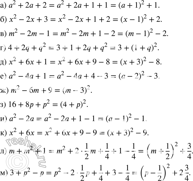
Рассмотрим вариант решения задания из учебника Никольский, Потапов 7 класс, Просвещение:
Выделите полный квадрат из многочлена (368—370):
368 а) а2 + 2а + 2;
б) х2- 2х + 3;
в) m2 - 2m - 1;
г) 4 + 2q + q2;
д) х2 + 6x + 1;
е) а2 - 4а + 1;
ж) т2 - 6т + 9;
з) 16 + 8р + р2;
и) а2 - 2а;
к) х2 + 6х;
л) m + m2 + 1;
м) 3 + р2 - р.
*размещая тексты в комментариях ниже, вы автоматически соглашаетесь с пользовательским соглашением