Упр.365 ГДЗ Никольский Потапов 7 класс (Алгебра)
Решение #1

Рассмотрим вариант решения задания из учебника Никольский, Потапов 7 класс, Просвещение:
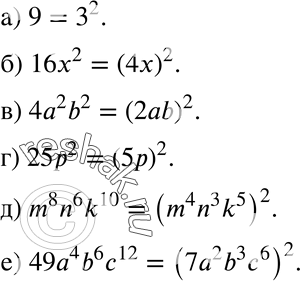
365 Представьте выражение в виде степени с показателем 2:
а) 9; б) 16х2; в) 4а2b2; г) 25р2; д) m8n6k10; е) 49а4b6с12.
*размещая тексты в комментариях ниже, вы автоматически соглашаетесь с пользовательским соглашением