Упр.362 ГДЗ Никольский Потапов 7 класс (Алгебра)
Решение #1

Рассмотрим вариант решения задания из учебника Никольский, Потапов 7 класс, Просвещение:
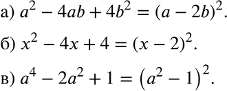
362 Выясните, является ли многочлен квадратом какого-либо двучлена:
а) а2 - 4аb + 4b2;
б) x2 - 4x + 4;
в) а4 - 2а2 + 1.
*размещая тексты в комментариях ниже, вы автоматически соглашаетесь с пользовательским соглашением