Упр.360 ГДЗ Никольский Потапов 7 класс (Алгебра)
Решение #1

Рассмотрим вариант решения задания из учебника Никольский, Потапов 7 класс, Просвещение:
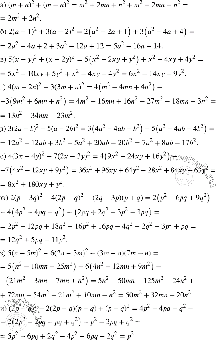
360 Преобразуйте выражение в многочлен стандартного вида:
а) (m + n)2 + (m - n)2;
б) 2(а - 1)2 + 3(а - 2)2;
в) 5(x - у)2 + (x - 2у)2;
г) 4(m - 2n)2 - 3(3m + n)2;
д) 3 (2а - b)2 - 5 (а - 2b)2;
е) 4 (Зx + 4у)2 - 7 (2x - Зy)2;
ж) 2(р - 3q)2 - 4(2р - q)2 - (2q - 3р)(р + q);
з) 5(n - 5m)2 - 6(2n - 3m)2 - (Зm - n)(7m - n);
и) (2р - q)2 -2(2р- q)(p - q) + (р - q)2.
*размещая тексты в комментариях ниже, вы автоматически соглашаетесь с пользовательским соглашением