Упр.358 ГДЗ Никольский Потапов 7 класс (Алгебра)
Решение #1

Рассмотрим вариант решения задания из учебника Никольский, Потапов 7 класс, Просвещение:
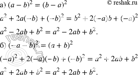
358 Доказываем. Докажите тождество:
а) (а - b)2 = (b - а)2;
б) (-а - b)2 = (а + b)2.
*размещая тексты в комментариях ниже, вы автоматически соглашаетесь с пользовательским соглашением