Упр.350 ГДЗ Муравин 7 класс (Алгебра)
Решение #1

Рассмотрим вариант решения задания из учебника Муравин, Муравина 7 класс, Дрофа:
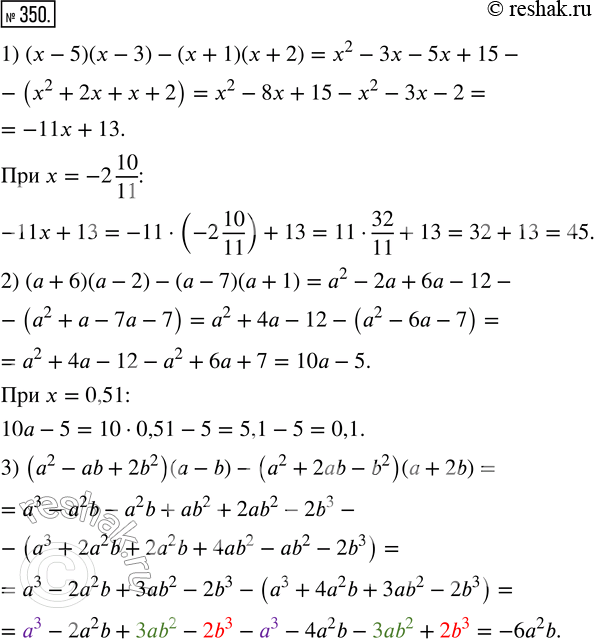
350. Найдите значение выражения:
1) (х - 5)(x - 3) - (х + 1)(x + 2) при х = -2 10/11;
2) (а + 6)(а - 2) - (а - 7)(а + 1) при а = 0,51;
3) (а^2 - аb + 2b^2)(а - b) - (а^2 + 2аb - b^2)(а + 2b) при a = -1 1/3, b = -1 1/8;
4) (а^2 + 4ах + x^2)(а - 2х) - (а^2 - 5ах - 2х^2)(а + х) при а = -1 1/9, х = 0,27.
*размещая тексты в комментариях ниже, вы автоматически соглашаетесь с пользовательским соглашением