Упр.347 ГДЗ Никольский Потапов 7 класс (Алгебра)
Решение #1

Рассмотрим вариант решения задания из учебника Никольский, Потапов 7 класс, Просвещение:
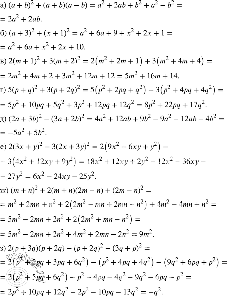
347 Преобразуйте выражение в многочлен стандартного вида:
а) (а + b)2 + (а + b)(а - b);
б) (а + З)2 + (х + 1)2;
в) 2(m+1)2+3(m+2)2;
г) 5(p+q)2+3(p+2q)2;
д) (2а + 3b)2 - (За + 2b)2;
е) 2(3x + у)2- 3(2х + 3у)2;
ж) (m + n)2 + 2(m + n)(2m - n) + (2m - n)2;
з) 2 (р + 3q) (р + 2q)-(p + 2q)2 - (3q + р)2.
*размещая тексты в комментариях ниже, вы автоматически соглашаетесь с пользовательским соглашением