Упр.346 ГДЗ Никольский Потапов 7 класс (Алгебра)
Решение #1

Рассмотрим вариант решения задания из учебника Никольский, Потапов 7 класс, Просвещение:
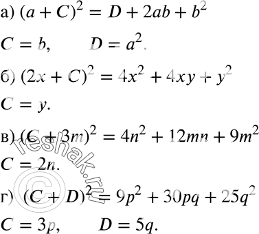
346 Вместо букв С и D подберите одночлены так, чтобы выполнялось равенство:
а) (а + С)2 = D + 2аb + b2;
б) (2x + С)2 = 4х2 + 4ху + у2;
в) (С + Зm)2 = 4а2 + 12mn + 9m2;
г) (С + D)2 = 9р2 + 30pq + 25q2.
*размещая тексты в комментариях ниже, вы автоматически соглашаетесь с пользовательским соглашением