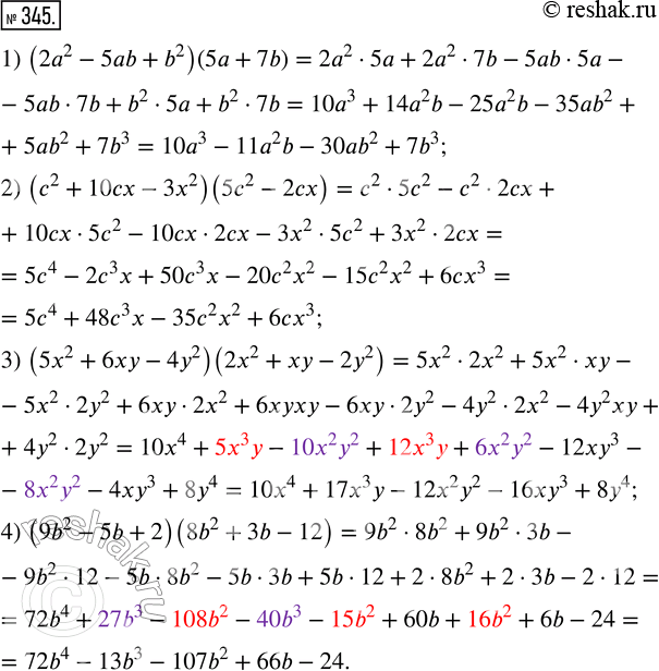
Упр.345 ГДЗ Муравин 7 класс (Алгебра)
Решение #1

Рассмотрим вариант решения задания из учебника Муравин, Муравина 7 класс, Дрофа:
345. Представьте в виде многочлена стандартного вида:
1) (2а^2 - 5ab + b^2)(5а + 7b);
2) (с^2 + 10сх - 3x^2)(5с^2 - 2сх);
3) (5х^2 + бху - 4у^2)(2х^2 + ху - 2у^2);
4) (9b^2 - 5b + 2)(8b^2 + 3b - 12).
*размещая тексты в комментариях ниже, вы автоматически соглашаетесь с пользовательским соглашением