Упр.341 ГДЗ Никольский Потапов 7 класс (Алгебра)
Решение #1

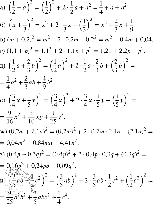
Рассмотрим вариант решения задания из учебника Никольский, Потапов 7 класс, Просвещение:
341 Преобразуйте выражение в многочлен:
а) (1/2 + a)2;
б) (x+1/3)2;
в) (m+0,2)2;
г) (1,1+p)2;
д) (1/2*a+2/3*b)2;
е) (3/4*x+1/5*y)2;
ж) (0,2m+2,1n)2;
з) (0,4p+9,3q)2;
и) (3/5*ab + 1/2*c2)2.
*размещая тексты в комментариях ниже, вы автоматически соглашаетесь с пользовательским соглашением