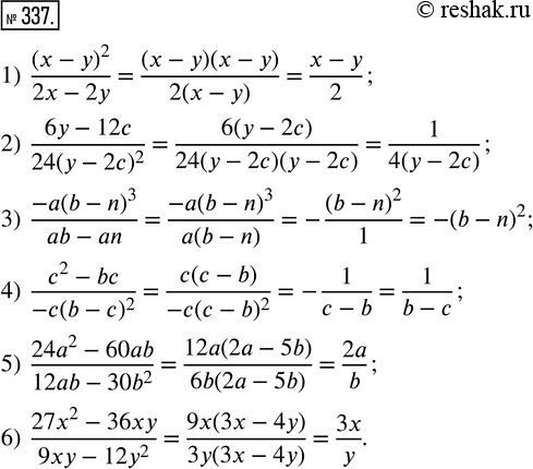
Упр.337 ГДЗ Муравин 7 класс (Алгебра)
Решение #1

Рассмотрим вариант решения задания из учебника Муравин, Муравина 7 класс, Дрофа:
337. Сократите дробь:
1) (x-y)^2/(2x-2y); 3) (-a(b-n)^3)/(ab-an); 5) (24a^2-60ab)/(12ab-30b^2);
2) (6y-12c)/(24(y-2c)^2); 4) (c^2-bc)/(-c(b-c)^2); 6) (27x^2-36xy)/(9xy-12y^2).
*размещая тексты в комментариях ниже, вы автоматически соглашаетесь с пользовательским соглашением