Упр.335 ГДЗ Макарычев Миндюк 9 класс (Углубленный) (Алгебра)
Решение #1

Рассмотрим вариант решения задания из учебника Макарычев, Миндюк, Нешков 9 класс, Просвещение:
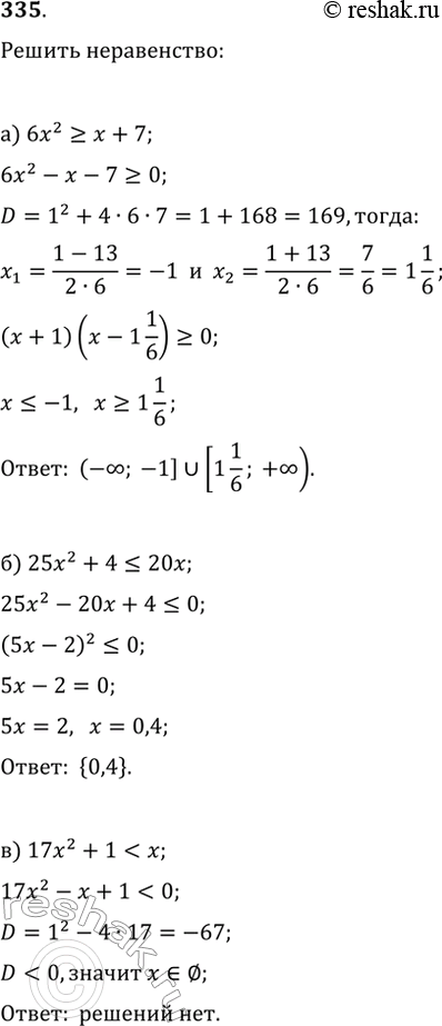
335. Решите неравенство:
а) 6x^2?x+7; б) 25x^2+4?20x; в) 17x^2+1
*размещая тексты в комментариях ниже, вы автоматически соглашаетесь с пользовательским соглашением