Упр.309 ГДЗ Муравин 7 класс (Алгебра)
Решение #1

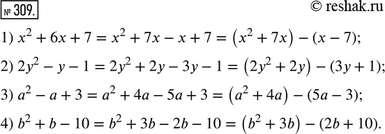
Рассмотрим вариант решения задания из учебника Муравин, Муравина 7 класс, Дрофа:
309. Представьте трёхчлен в виде разности двух двучленов:
1) х^2 + 6х + 7; 3) а^2 - а + 3;
2) 2у^2 - у — 1; 4) b^2 + b - 10.
*размещая тексты в комментариях ниже, вы автоматически соглашаетесь с пользовательским соглашением