Упр.30 ГДЗ Никольский Потапов 7 класс (Алгебра)
Решение #1

Рассмотрим вариант решения задания из учебника Никольский, Потапов 7 класс, Просвещение:
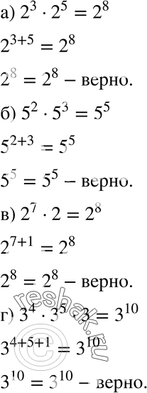
30. Верно ли равенство:
а) 2^3 * 2^5 = 2^8;
б) 5^2 * 5^3 = 5^5;
в) 2^7 * 2 = 2^8;
г) З^4 * З^5 * 3 = З^10?
*размещая тексты в комментариях ниже, вы автоматически соглашаетесь с пользовательским соглашением