Упр.299 ГДЗ Никольский Потапов 7 класс (Алгебра)
Решение #1
Решение #2

Рассмотрим вариант решения задания из учебника Никольский, Потапов 7 класс, Просвещение:
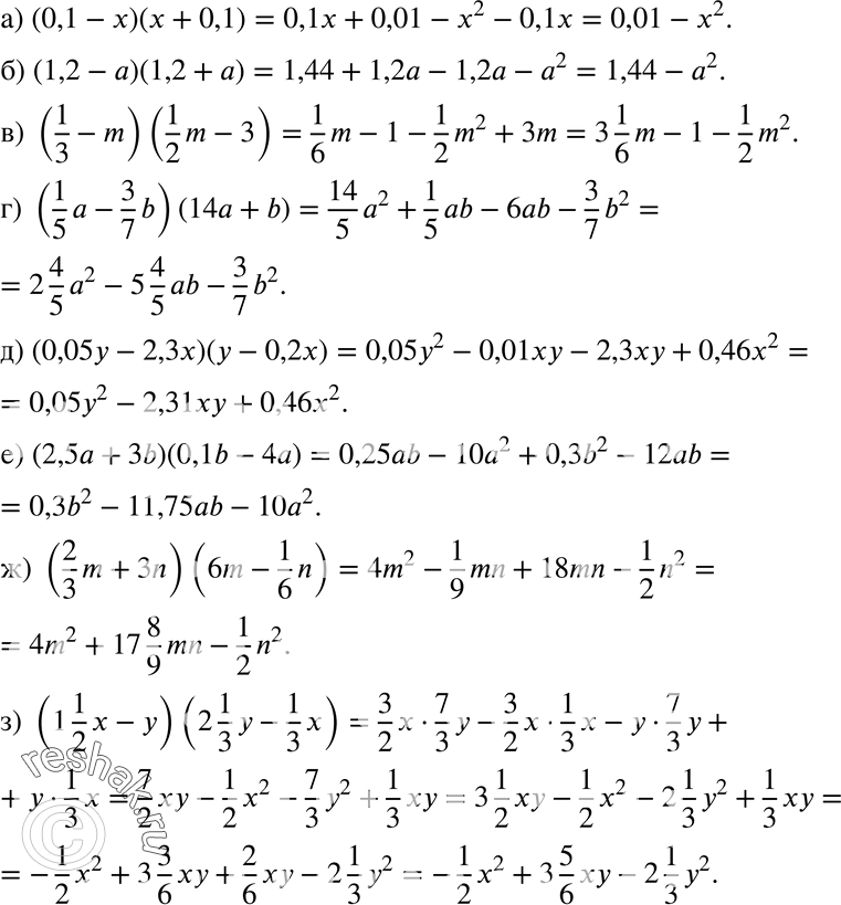
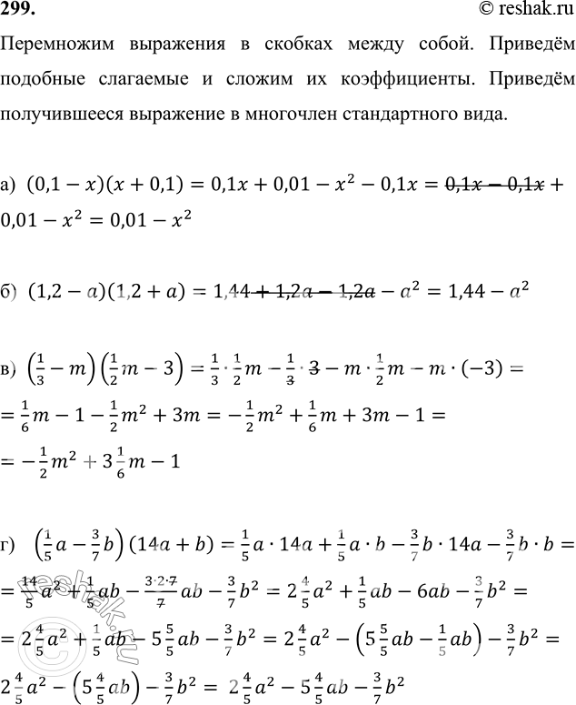
299 а) (0,1-x)(x+0,1);
б) (1,2-a)(1,2+a);
в) (1/3-m)(1/2*m-3);
г) (1/5*a-3/7*b) (14a+b);
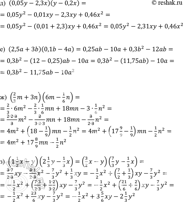
д) (0,05y-2,3x)(y-0,2x);
е) (2,5a+3b)(0,1b-4a);
ж) (2/3*m+3n)(6m-1/6*n);
з) (1*1/2*x - y)(2*1/3*y-1/3*x).
*размещая тексты в комментариях ниже, вы автоматически соглашаетесь с пользовательским соглашением