Упр.297 ГДЗ Муравин 7 класс (Алгебра)
Решение #1

Рассмотрим вариант решения задания из учебника Муравин, Муравина 7 класс, Дрофа:
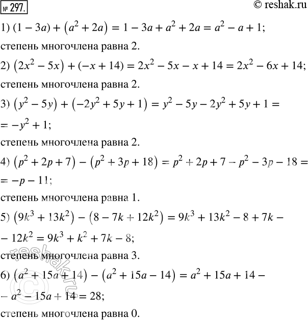
297. Преобразуйте выражение в многочлен стандартного вида и определите его степень:
1) (1 - 3а) + (а^2 + 2а);
2) (2x^2 - 5x) + (-x + 14);
3) (у^2 - 5у) + (-2у^2 + 5у + 1);
4) (р^2 + 2р + 7) - (р^2 + 3р + 18);
5) (9k^3 + 13k^2) - (8 - 7k + 12k^2);
6) (а^2 + 15а + 14) - (а^2 + 15а - 14).
*размещая тексты в комментариях ниже, вы автоматически соглашаетесь с пользовательским соглашением