Упр.294 ГДЗ Никольский Потапов 7 класс (Алгебра)
Решение #1

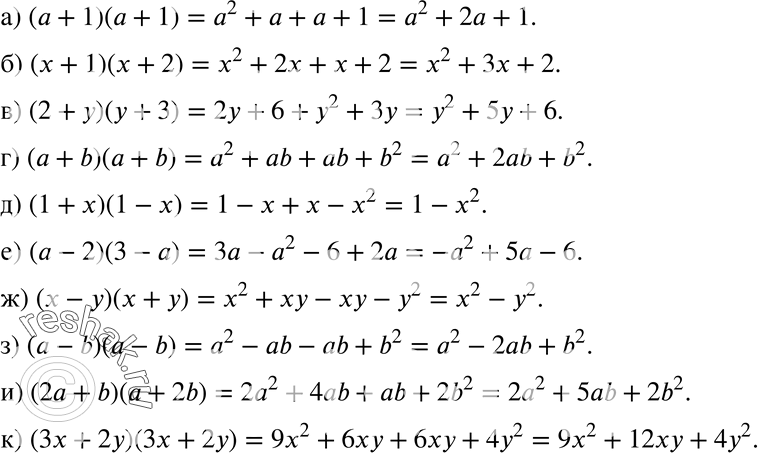
Рассмотрим вариант решения задания из учебника Никольский, Потапов 7 класс, Просвещение:
Выполните умножение (294—295):
294 а) (а + 1)(а + 1);
б) (x+1)(x+2);
в) (2 + у) (у + 3);
г) (a+b)(a+b);
д) (1 + х)(1 - x);
е) (a-2)(3-a);
ж) (х - у)(х + у);
з) (a-b)(a-b);
и) (2а + b) (а + 2b);
к) (3x+2y)(3x+2y).
*размещая тексты в комментариях ниже, вы автоматически соглашаетесь с пользовательским соглашением