Упр.269 ГДЗ Муравин 7 класс (Алгебра)
Решение #1

Рассмотрим вариант решения задания из учебника Муравин, Муравина 7 класс, Дрофа:
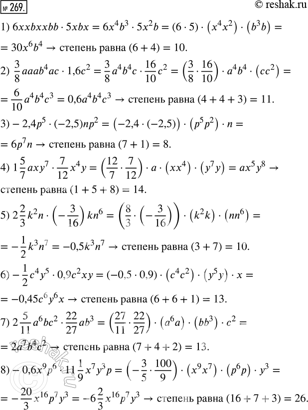
269. Приведите одночлен к стандартному виду и определите, какая у него степень:
1) бххbххbb · 5xbx; 5) 2 2/3 k^2 n · (-3/16)kn^6;
2) 3/8 aaab^4 ac · 1,6c^2; 6) -1/2 c^4 y^5 · 0,9c^2 xy;
3) -2,4p^5 · (-2,5)np^2; 7) 2 5/11 a^6 bc^2 · 22/27 ab^3;
4) 1 5/7 axy^7 · 7/12 x^4 y; 8) -0,6x^9 p^6 · 11 1/9 x^7 y^3 p.
*размещая тексты в комментариях ниже, вы автоматически соглашаетесь с пользовательским соглашением