Упр.269 ГДЗ Макарычев Миндюк 9 класс (Углубленный) (Алгебра)
Решение #1

Рассмотрим вариант решения задания из учебника Макарычев, Миндюк, Нешков 9 класс, Просвещение:
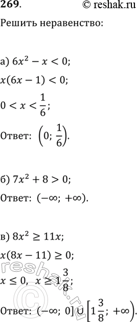
269. Решите неравенство:
а) 6x^2-x<0; в) 8x^2?11x; д) x^2<9;
б) 7x^2+8>0; г) x^2<5x; е) x^2>16.
*размещая тексты в комментариях ниже, вы автоматически соглашаетесь с пользовательским соглашением