Упр.267 ГДЗ Никольский Потапов 7 класс (Алгебра)
Решение #1

Рассмотрим вариант решения задания из учебника Никольский, Потапов 7 класс, Просвещение:
267. Раскройте скобки и упростите полученное выражение:
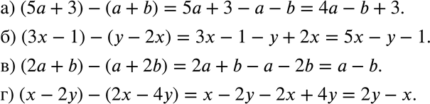
а) (5а + 3) - (а + b);
б) (Зх - 1) - (у - 2х);
в) (2а + b) - (а + 2b);
г) (х - 2у) - (2х - 4у).
*размещая тексты в комментариях ниже, вы автоматически соглашаетесь с пользовательским соглашением