Упр.265 ГДЗ Никольский Потапов 7 класс (Алгебра)
Решение #1

Рассмотрим вариант решения задания из учебника Никольский, Потапов 7 класс, Просвещение:
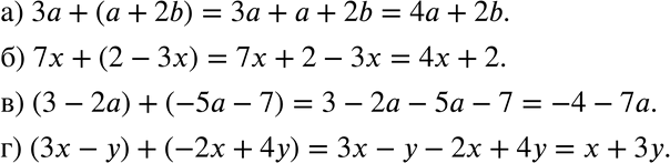
265. Найдите многочлен, равный сумме многочленов:
а) За и (а + 2b);
б) 7х и (2 - Зх);
в) (3 - 2а) и (-5а - 7);
г) (Зx - у) и (-2x + 4у).
*размещая тексты в комментариях ниже, вы автоматически соглашаетесь с пользовательским соглашением