Упр.260 ГДЗ Макарычев Миндюк 9 класс (Углубленный) (Алгебра)
Решение #1

Рассмотрим вариант решения задания из учебника Макарычев, Миндюк, Нешков 9 класс, Просвещение:
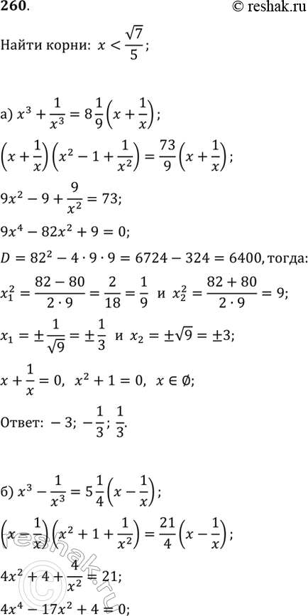
260. Найдите корни уравнения, удовлетворяющие условию x
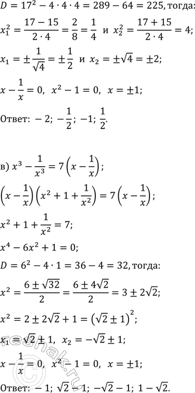
а) x^3+1/x^3=8 1/9(x+1/x); б) x^3-1/x^3=5 1/4(x-1/x); в) x^3-1/x^3=7(x-1/x).
*размещая тексты в комментариях ниже, вы автоматически соглашаетесь с пользовательским соглашением