Упр.258 ГДЗ Никольский Потапов 7 класс (Алгебра)
Решение #1

Рассмотрим вариант решения задания из учебника Никольский, Потапов 7 класс, Просвещение:
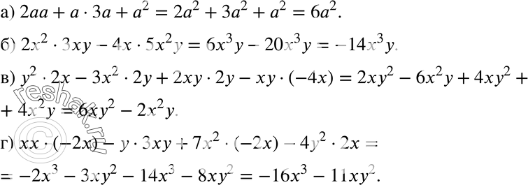
258. Упростите выражение:
а) 2аа + а * За + а2;
б) 2х2 * Зху - 4х * 5х2у;
в) у2 * 2х - Зх2 * 2у + 2ху * 2у - ху * (-4х);
г) хх * (-2х) - у * Зху + 7х2 * (-2х) - 4у2 * 2х.
*размещая тексты в комментариях ниже, вы автоматически соглашаетесь с пользовательским соглашением